Frédéric Baudron is a Senior Scientist working for the French Agricultural Research Centre for International Development (Cirad), based in Montpellier, France. Prior to this, he was a Principal Scientist working for the International Maize and Wheat Improvement Center (CIMMYT) based first in Addis Ababa, Ethiopia (from 2011 to 2016) and later in Harare, Zimbabwe (from 2016 to 2023).
Trained as a tropical agronomist in France, he specialized as a livestock scientist and started his career with a focus on the interface between people (mainly farmers) and wildlife in Zimbabwe (and neighboring countries). He then carried his PhD on plant production systems at the University of Wageningen (The Netherlands).
He has been involved in a number of research projects in Ethiopia, Kenya, Rwanda, Tanzania, Zambia, Malawi and Zimbabwe. He has 22 years of experience developing solutions with and for smallholders in East and Southern Africa.
PhD in Production Ecology and Resource Conservation, 2011
Wageningen University, The Netherlands
Diploma of Specialized Agronomy (Master of Science) in Livestock Science, 2001
AgroParisTech, France
Diploma of General Agronomy, 2000
SupAgro Montpellier, France
90%
70%
60%
30%
30%
70%
70%
80%
50%

The project ‘Harnessing Appropriate-scale Farm mechanization In Zimbabwe’ (HAFIZ) aims to support investments by the Government and by the private sector in appropriate-scale farm mechanization in Zimbabwe, particularly around mechanized Pfumvudza, and transfer learnings to South Africa.
Agroecology is an approach to food production that harnesses nature’s goods and services whilst minimizing adverse environmental impacts, and improves farmer-consumer connectivity, knowledge co-creation and inclusive relationships among food system actors.

With an estimated 15% of all agricultural soils in Africa being affected, soil acidity is a major constraint to (current and future) crop production on the continent. As a response, several governments in East Africa - including Ethiopia, Kenya, Tanzania, and Rwanda - have initiated strategic plans toward substantial public investments for the rehabilitation of acid soils.

The objectives of the project ‘Addressing malnutrition with biofortified maize in Zimbabwe; from crop management to policy and consumers’ are 1) to evaluate the new pro-vitamin A (PVA) lines in Zimbabwe under different agronomic practices to gain knowledge on the combination of bio + agronomic fortification, 2) to determine the actual nutrient content of the new PVA lines in farmers' fields with different fertility status, and 3) to predict the dietary mineral supply at regional level with and without bio + agronomic fortification.

The objective of the ‘LIvestock Production System’ (LIPS) project is to improve productivity and climate relevance of livestock-based production systems in Zimbabwe’s agro-ecological regions IV and V through increased adoption of climate relevant innovations in livestock-based production systems, and increased capacity to implement surveillance and control of productivity diseases.

The ‘Sustainable Intensification of Smallholder Farming Systems’ (SIFAZ) project aims at sustainably intensifying current smallholder farming systems affected by soil degradation, fertility decline and climate change with improved technologies and scaling approaches to increase productivity, income and facilitate commercial orientation of smallholder farmers while maintaining environmental resilience of the natural resource base for sustainable production in the targeted production systems.

The goal of the project ‘Validating Agro-ecological Control Options for Fall Armyworm (Spodoptera frugiperda J.E. Smith) in Zimbabwe’ is to reduce the negative impact of fall armyworm on food security and livelihoods of smallholder farmers in Zimbabwe, by giving them more control options, based on the principles of agro-ecological management.

The ‘Programme on Growth & Resilience’ (PROGRESS) was implemented from 2017 to 2020 in Eastern Zimbabwe. It used a multi-tiered approach to address key causes of rural household vulnerability, improving the absorptive, adaptive and transformative capacities of at least 20,000 households in Nyanga and Beitbridge Districts.

The objective of the ‘Enhancing Smallholder Wheat Productivity through Sustainable Intensification of Wheat-based Farming Systems in Rwanda and Zambia’ (SWPSI) project is to establish the potential of smallholder wheat production to increase food security and reduce wheat import bills in Rwanda and Zambia, and to draw lessons to inform wheat sector development for scaling-up of initiatives to increase wheat farm productivity.

The aim of the ‘The New Agrarian Change’ project, implemented from 2014 to 2016, was to use an integrated landscape approach to explore the livelihood and food security implications of land-use change and agrarian change processes in multi-functional landscapes, focusing on the experiences of six landscapes that exhibit various combinations of agricultural modification, productivity, changing forest cover or forest use, and integration with global commodity markets.

The aim of the ‘Farm Mechanisation and Conservation Agriculture for Sustainable Intensification’ (FACASI) project, implemented from 2013 to 2017 in Kenya and in Tanzania, and from 2014 to 2019 in Ethiopia and Zimbabwe, was to identify appropriate small-scale machines (in particular two-wheel tractors and their ancillary equipment) to improve farming practices (in particular crop establishment through direct seeding), and the commercial mechanisms needed to deliver these to smallholder farmers.

The aim of the ‘Improving Sustainable Productivity in Farming Systems and Enhanced Livelihoods through Adoption of Evergreen Agriculture in Eastern Africa’ (Trees4Food) project, implemented from 2012 to 2017, was to enhance food security for resource-poor rural people in Eastern Africa through research that underpins national programmes to scale up the use of trees within farming systems in Ethiopia and Rwanda and then scale out successes to relevant agro-ecological zones in Uganda and Burundi.

The aim of the project ‘Enhancing total farm productivity in smallholder conservation agriculture based systems in eastern Africa.’ (FACASI) project, implemented from 2010 to 2014 in Ethiopia and Kenya, was to develop sustainable systems and reduce the competition for crop residues between livestock and soil quality.

There is an urgent need for agricultural development strategies that reconcile agricultural production and biodiversity conservation. This is especially true in the Global South where population growth is rapid and much of the world’s remaining biodiversity is located. Combining conceptual thoughts with empirical insights from case studies in Indonesia and Ethiopia, we argue that such strategies will have to pay more attention to agri- cultural labour dynamics. Farmers have a strong motivation to reduce the heavy toil associated with farming by adopting technologies that save labour but can negatively affect biodiversity. Labour constraints can also prevent farmers from adopting technologies that improve biodiversity but increase labour intensity. Without explicitly accounting for labour issues, conservation efforts can hardly be successful. We hence highlight the need for biodiversity-smart agriculture, that is farming practices or systems that reconcile biodiversity with land and labour productivity. Our empirical insights suggest that technological and institutional options to reconcile farmers' socio-economic goals and biodiversity conservation exist but that more needs to be done to implement such options at scale.

A growing urban population and dietary changes increased wheat import bills in Africa to 9% per year. Though wheat production in the continent has been increasing over the past decades, to varying degrees depending on regions, this has not been commensurate with the rapidly increasing demand for wheat. Analyses of wheat yield gaps show that there is ample opportunity to increase wheat production in Africa through improved genetics and agronomic practices. Doing so would reduce import dependency and increase wheat self-sufficiency at national level in many African countries. In view of the uncertainties revealed by the global COVID-19 pandemic, extreme weather events, and world security issues, national policies in Africa should re-consider the value of self-sufficiency in production of staple food crops, specifically wheat. This is particularly so for areas where water-limited wheat yield gaps can be narrowed through intensification on existing cropland and judicious expansion of rainfed and irrigated wheat areas. Increasing the production of other sources of calories (and proteins) should also be considered to reduce dependency on wheat imports

Acid tropical soils may become more productive when treated with agricultural lime, but optimal lime rates have yet to be determined in many tropical regions. In these regions, lime rates can be estimated with lime requirement models based on widely available soil data. We reviewed seven of these models and introduced a new model (LiTAS). We evaluated the models' ability to predict the amount of lime needed to reach a target change in soil chemical properties with data from four soil incubation studies covering 31 soil types. Two foundational models, one targeting acidity saturation and the other targeting base saturation, were more accurate than the five models that were derived from them, while the LiTAS model was the most accurate. The models were used to estimate lime requirements for 303 African soil samples. We found large differences in the estimated lime rates depending on the target soil chemical property of the model. Therefore, an important first step in formulating liming recommendations is to clearly identify the soil property of interest and the target value that needs to be reached. While the LiTAS model can be useful for strategic research, more information on acidity-related problems other than aluminum toxicity is needed to comprehensively assess the benefits of liming."

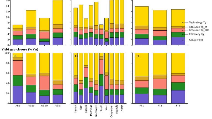
Maize production in Zambia must increase with a view towards improved food security and reduced food imports whilst avoiding cropland expansion. To achieve this, it is important to understand the causes behind the large maize yield gaps observed in smallholder farming systems across the country. This is the first study providing a yield gap decomposition for maize in Zambia, and combining it with farm typology delineation, to identify the key limiting factors to maize yield gaps across the diversity of farms in the country. The analysis builds upon a nationally representative household survey covering three growing seasons and crop model simulations to benchmark on-farm maize yields and N application rates. Three farm types were delineated, including households for which maize is a marginal crop, households who are net buyers of maize, and households who are market-oriented maize producers. Yield gap closure was about 20% of the water-limited yield, corresponding to an actual yield of 2.4 t ha???1. Market-oriented maize farms yielded slightly more than the other farm types, yet the drivers of yield variability were largely consistent across farm types. The large yield gap was mostly attributed to the technology yield gap indicating that more efficient production methods are needed to raise maize yields beyond the levels observed in highest yielding fields. Yet, narrowing efficiency and resource yield gaps through improved crop management (i.e., sowing time, plant population, fertilizer inputs, and weed control) could more than double current yields. Creating a conducive environment to increase maize production should focus on the dissemination of technologies that conserve soil moisture in semi-arid areas and improve soil health in humid areas. Recommendations of sustainable intensification practices need to consider profitability, risk, and other non-information constraints to improved crop management and must be geographically targeted to the diversity of farming systems across the country."

The production and trade of agricultural commodities is a major driver of the loss of tropical biodiversity. In the Mid Zambezi Valley, Zimbabwe, which is home to many emblematic African mammals, cotton production has historically been a major driver of land cover change. The collapse of cotton production in Zimbabwe over the last decade provides a unique opportunity to understand the linkages between the profitability of cotton and land-use changes in this multifunctional landscape. By re-visiting 141 households that had been surveyed in 2007 and combining this panel survey data with a land cover analysis and secondary data, we demonstrate that the decreasing profitability of cotton led to a shift from cotton farming (mean area per farm decreasing from 1.79 +/- 2.05 ha in 2007 to 0.72 +/- 0.90 ha in 2020) to livestock farming (mean number of cattle and goats per farm increasing several-fold between 2007 and 2020), resulting in drastic land cover changes. Indeed, open vegetation (including crops, fallows and grazing areas) expanded from 10 to 20% of the total land cover area between 2007 and 2020. Populations of wildlife species have declined drastically during this period, although this cannot be attributed solely to the observed changes in land cover. However, increasing human-wildlife conflicts are likely to threaten the long-term coexistence of people and wildlife in the area. We argue that commodity crops can be an opportunity for nature conservation, not only a threat, and that conservation needs to support a ‘living income’ for people coexisting with wildlife.

In sub-Saharan Africa there is increasing focus on identifying women’s trait preferences within crop breeding to enable gender-responsive product development. In the case of maize, breeding programs are ready to incorporate specific traits to increase gender-responsiveness but lack guidance on what these specific traits might be. We propose an inductive approach to determine a pathway towards increasing gender-responsiveness within maize breeding. A survey of 306 farmers was conducted to determine gender differences in maize varieties used together with key agronomic practices. Variety was a significant predictor of the gender of the plot manager and of the household head in contrast to previous surveys conducted in researcher-led on-farm trials. On-farm trials are conducted using pre-defined agronomic management practices and preferences identified at harvest are likely to centre around yield. This study highlighted significant differences in several agronomic practices used by female plot managers and female household heads. Although further studies are required to understand preferences associated with varietal choice, our results suggest that current researcher-led on-farm trials may not identify gender-specific trait preferences driving varietal choice. Furthermore, a trait-specific approach is not the only avenue towards increasing gender-responsiveness in maize breeding in southern Africa. The scope for increasing gender-intentionality in maize breeding could be expanded to incorporate selection environments more relevant to agronomic management practices used by female plot managers and households at advanced stages of the breeding pipeline. This approach could provide an immediate entry point to increase gender-intentional maize breeding in southern Africa.








